PODSTAWOWE POJĘCIA ZWIĄZANE Z DRGANIAMI MECHANICZNYMI W ŚRODOWISKU PRACY
Skuteczne, skorygowane (ważone) przyspieszenia drgań
Podstawowym parametrem służącym do przeprowadzenia oceny narażenia na drgania zarówno miejscowe jak i ogólne są skuteczne skorygowane wartości przyspieszeń drgań zmierzone dla kierunków x, y i z na stanowisku pracy przy wykonywaniu każdej z wyodrębnionych (i-tej) czynności. Wartości zmierzonych przyspieszeń są korygowane (ważone) przy wykorzystaniu odpowiedniej dla każdego rodzaju drgań charakterystyki korekcyjnej.
Dla drgań działających przez kończyny górne przyjęto następujące oznaczenia skutecznych, skorygowanych przyspieszeń drgań:
ahwxi, ahwyi, ahwzi
gdzie: x, y, z - kierunek drgań,
i - numer wykonywanej czynności
Dla drgań o działaniu ogólnym przyjęto następujące oznaczenia skutecznych, skorygowanych przyspieszeń drgań :
awxi, awxi, awxi
gdzie: gdzie: x, y, z - kierunek drgań, i - numer wykonywanej czynności.
Parametrem mającym istotne znaczenia zarówno przy ocenie drgań miejscowych jak i ogólnych jest całkowity czas narażenia pracownika na drgania w ciągu zmiany roboczej
t [min], będący sumą czasów trwania
ti poszczególnych czynności, wyliczany zgodnie z zależnością:

gdzie
n - liczba czynności wykonywanych w narażeniu na drgania na danym stanowisku pracy.
Wielkości służące do oceny narażenia na drgania miejscowe
Podstawowymi wielkościami służącymi do oceny narażenia na drgania miejscowe są: suma wektorowa skorygowanych przyspieszeń drgań, oraz 8-godzinna (dzienna) ekspozycja na drgania.
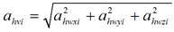
Dla każdej wyodrębnionej czynności wykonywanej w narażeniu na drgania miejscowe wyliczana jest wartość sumy wektorowej skutecznych skorygowanych przyspieszeń drgań ahvi według następującej zależności:

gdzie
ahwxi,
ahwyi,
ahwzi, są skutecznymi wartościami przyspieszeń drgań zmierzonymi dla kierunków x, y i z przy wykonywaniu
i-tej czynności.
Do oceny krótkotrwałego narażenia na drgania (dla czynności o czasach trwania 30 minut i krócej) wykorzystywana jest suma wektorowa skutecznych skorygowanych przyspieszeń drgań Do oceny narażenia wybierana jest maksymalna (
ahv,30min,max) wartość sumy wektorowej spośród sum wektorowych wyznaczonych dla każdej czynności o czasie trwania mniejszym lub równym 30 minut, zgodnie z zależnością:
ahv,30min,max = max{ ahvi} = { ahv1, ahv2, ... ahvn}
Do oceny narażenia drgania miejscowe gdy całkowity czas narażenia pracownika na drgania
t przekracza 30 minut, wykorzystuje się wielkość nazywaną 8-godzinną (lub inaczej dzienną) ekspozycją na drgania obliczaną z zależności:

gdzie :
n - liczba czynności wykonywanych w narażeniu na drgania,
i - numer kolejnej czynności wykonywanej w narażeniu na drgania,
ahvi - sumy wektorowych, skutecznych ważonych przyspieszeń drgań dla
i-tej czynności
ti - czas wykonywania i-tej czynności,
T0 - 480 minut (wartość odpowiadająca 8 godzinom)
Wielkości służące do oceny narażenia na drgania ogólne
Podstawowymi wielkościami służącymi do oceny narażenia na drgania miejscowe są: wartość dominująca skutecznych skorygowanych przyspieszeń drgań, oraz 8-godzinna (dzienna) ekspozycja na drgania dla dominującego kierunku drgań.
Wartość dominująca skutecznych skorygowanych przyspieszeń drgań (
aw,30min,max) stosowana jest do oceny krótkotrwałego narażenia na drgania (dla czynności o czasach trwania 30 minut i krócej). Wyznaczana jest ona zgodnie z zależnością:
aw,30min,max = max{awli} = max{awl1, awl2, ... awln}
gdzie:
n - liczba wykonywanych czynności w narażeniu na drgania,
i - numer czynności wykonywanej w narażeniu na drgania,
l - kierunek drgań (x, y lub z),
awli - skuteczne, skorygowane przyspieszenia drgań wyznaczone dla kierunku
l z uwzględnieniem właściwych współczynników kierunkowych (1,4
awxi, 1,4
awyi,
awzi)
Gdy całkowity czas narażenia pracownika na drgania t przekracza 30 minut, do oceny narażenia drgania ogólne wykorzystuje się wielkość nazywaną 8-godzinną (lub inaczej dzienną) ekspozycją na drgania obliczaną dla każdego kierunku drgań zgodnie z zależnością:

gdzie:
n - liczba wykonywanych czynności w narażeniu na drgania,
i - numer czynności wykonywanej w narażeniu na drgania,
l - kierunek drgań (x, y lub z),
kx =
ky = 1,4, dla kierunków x i y;
kz = 1 dla kierunku z,
ti - czas wykonywania i-tej czynności,
awli - wartość skorygowana przyspieszenia drgań, zmierzona w kierunku x, y i z dla
i-tej czynności w narażeniu na drgania.
Ocena narażenia na drgania ogólne przeprowadzana jest na podstawie największej wartości 8-godzinnej ekspozycji wybranej spośród ekspozycji wyznaczonych dla trzech kierunków: max{
Ax(8),
Ay(8),
Az(8)}
WARTOŚCI PROGÓW DZIAŁANIA
Wartości progów działania to wartości wielkości charakteryzujących drgania mechaniczne po przekroczeniu których pracodawca jest zobowiązany podjąć określone w przepisach prawa działania mające na celu ograniczenie ryzyka zawodowego związanego z drganiami. Wartości progów działania dla wielkości charakteryzujących drgania mechaniczne w środowisku pracy zostały podane w załączniku do rozporządzenia Ministra Gospodarki i Pracy z dnia 5 sierpnia 2005 r. w sprawie bezpieczeństwa i higieny pracy przy pracach związanych z narażeniem na hałas lub drgania mechaniczne (Dz. U. 2005, nr 157, poz. 1318). Wartości progów działania dla hałasu podano w tabeli 1.
Tabela 1. Wartości progów działania dla wielkości charakteryzujących drgania mechaniczne.
| Rodzaj drgań | Wielkość charakteryzująca drgania mechaniczne w środowisku pracy | Wartość progu działania |
| drgania działające przez kończyny górne (drgania miejscowe) | Ekspozycja dzienna A(8)
wyrażona w postaci równoważnej energetycznie dla 8 godzin działania sumy wektorowej skutecznych, ważonych częstotliwościowo przyspieszeń drgań, wyznaczonych dla trzech składowych kierunkowych (ahwx, ahwy, ahwz) | 2,5 m/s2 |
| drgania o działaniu ogólnym (drgania ogólne) | Ekspozycja dzienna A(8)
wyrażona w postaci równoważnego energetycznie dla 8 godzin działania skutecznego, ważonego częstotliwościowo przyspieszenia drgań, dominującego wśród przyspieszeń drgań, wyznaczonych dla trzech składowych kierunkowych z uwzględnieniem właściwych współczynników (1,4awx, 1,4awy, awz) | 0,5 m/s2 |
WARTOŚCI DOPUSZCZALNE (NDN)
Wielkości charakteryzujące drgania mechaniczne w środowisku pracy oraz wartości największych dopuszczalnych natężeń (NDN) dla tych wielkości zostały określone w załączniku do rozporządzenia Ministra Pracy i Polityki Społecznej z dnia 29 listopada 2002 r. w sprawie najwyższych dopuszczalnych stężeń i natężeń czynników szkodliwych dla zdrowia w środowisku pracy (Dz. U. z 2002 r. Nr 217 poz. 1833; Dz. U. z 2005 r. Nr 212 poz. 1769; Dz. U. z 2007 r. Nr 161 poz. 1142; Dz. U. z 2009 Nr 105 poz. 873; Dz. U. z 2010 Nr 141 poz. 950). Zgodnie z tym rozporządzeniem drgania działające na organizm człowieka przez kończyny górne (drgania miejscowe) są charakteryzowane przez:
- ekspozycję dzienną (A(8)), wyrażoną w postaci równoważnej energetycznie dla 8 godzin działania sumy wektorowej skutecznych, ważonych częstotliwościowo przyspieszeń drgań, wyznaczonych dla trzech składowych kierunkowych (ahwx, ahwy, ahwz),
- ekspozycję trwającą 30 minut i krócej, wyrażoną w postaci sumy wektorowej skutecznych, ważonych częstotliwościowo przyspieszeń drgań (ahv, 30min) wyznaczonych dla trzech składowych kierunkowych (ahwx, ahwy, ahwz),
natomiast drgania o ogólnym działaniu na organizm człowieka (drgania ogólne) są charakteryzowane przez:
- ekspozycję dzienną (A(8)), tj. największą spośród ekspozycji wyznaczonych dla trzech kierunków : max{Ax(8), Ay(8), Az(8)}, wyrażoną w postaci równoważnego energetycznie dla 8 godzin działania skutecznego, ważonego częstotliwościowo przyspieszenia drgań
- ekspozycję trwającą 30 minut i krócej, wyrażoną w postaci skutecznego, ważonego częstotliwościowo przyspieszenia drgań (aw,30min), dominującego wśród przyspieszeń drgań, wyznaczonych dla trzech składowych kierunkowych z uwzględnieniem właściwych współczynników (1,4awx, 1,4awy, awz).
Dopuszczalne wartości drgań mechanicznych nie mogą przekraczać wartości podanych w Tabeli 2.
Tabela 2. Wartości dopuszczalne (NDN) drgań mechanicznych.
| Rodzaj drgań | Wielkość charakteryzująca drgania mechaniczne w środowisku pracy | Wartość dopuszczalna |
| Drgania działające przez kończyny górne (drgania miejscowe) | Dzienna ekspozycja na drgania, A(8) | 2,8 m/s2 |
| Krótkotrwała ekspozycja na drgania, ahv, 30min | 11,2 m/s2 |
| drgania o działaniu ogólnym (drgania ogólne) | Dzienna ekspozycja na drgania, A(8) | 0,8 m/s2 |
| Krótkotrwała ekspozycja na drgania, aw, 30min | 3,2 m/s2 |
Podane powyżej wartości NDN drgań stosuje się, jeżeli inne szczegółowe przepisy nie określają wartości niższych. W przepisach szczegółowych określone zostały wartości dopuszczalne dla drgań mechanicznych odnoszące się do osób młodocianych oraz kobiet w ciąży
W rozporządzeniu Rady Ministrów z dnia 24 sierpnia 2004 r. w sprawie wykazu prac wzbronionych młodocianym i warunków ich zatrudniania przy niektórych z tych prac (Dz. U. 2004, nr 200, poz. 2047 ze zmianami Dz. U. 2005, nr 136, poz. 1145) podano wartości dopuszczalne drgań dla młodocianych. Zgodnie z tym rozporządzeniem wzbronione jest zatrudnianie młodocianych na stanowiskach pracy, na których wartości drgań przekraczają wartości dopuszczalne podane w tabeli 3.
Tabela 3. Wartości dopuszczalne drgań mechanicznych dla pracowników młodocianych.
| Rodzaj drgań | Wielkość charakteryzująca drgania mechaniczne w środowisku pracy | Wartość dopuszczalna |
| drgania działające przez kończyny górne (drgania miejscowe) | Dzienna ekspozycja na drgania, A(8) | 1,0 m/s2 |
| Krótkotrwała ekspozycja na drgania, ahv, 30min |
4,0 m/s2 |
| drgania o działaniu ogólnym (drgania ogólne) | Dzienna ekspozycja na drgania, A(8) | 0,19 m/s2 |
| Krótkotrwała ekspozycja na drgania, aw, 30min | 0,76 m/s2 |
W rozporządzeniu Rady Ministrów z dnia 10 września 1996 r. w sprawie wykazu prac szczególnie uciążliwych lub szkodliwych dla zdrowia kobiet. (Dz. U. nr 114, poz. 545 ze zm. Dz. U. 2002, nr 127, poz. 1092) podano wartości dopuszczalne drgań dla kobiet w ciąży. Zgodnie z tym rozporządzeniem wzbronione jest zatrudnianie kobiet w ciąży w warunkach narażenia na drgania ogólne oraz w warunkach narażenia na drgania działające przez kończyny górne, którego wartości przekraczają wartości dopuszczalne podane w tabeli 4.
Tabela 4. Wartości dopuszczalne drgań mechanicznych dla kobiet w ciąży.
| Rodzaj drgań | Wielkość charakteryzująca drgania mechaniczne w środowisku pracy | Wartość dopuszczalna |
| drgania działające przez kończyny górne (drgania miejscowe) | Dzienna ekspozycja na drgania, A(8) | 1,0 m/s2 |
| Krótkotrwała ekspozycja na drgania, ahv, 30min | 4,0 m/s2 |
| drgania o działaniu ogólnym (drgania ogólne) | Dzienna ekspozycja na drgania, A(8) | Praca wzbroniona |
| Krótkotrwała ekspozycja na drgania, aw, 30min |
OCENA RYZYKA ZAWODOWEGO
Ocena ryzyka zawodowego związanego z narażeniem na drgania mechaniczne polega przede wszystkim na odniesieniu wyznaczonych wartości wielkości charakteryzujących dzienną i/lub krótkotrwałą ekspozycję na drgania mechaniczne (ogólne i miejscowe) w środowisku pracy do ich wartości dopuszczalnych. Należy przy tym uwzględnić czy pracownik, dla którego dokonywana jest ocena należy do grupy szczególnego ryzyka (osoba młodociana lub kobieta w ciąży). Oceniając ryzyko zawodowe można przyjąć zasadę opisaną w normie PN-N-18002 "Systemy zarządzania bezpieczeństwem i higieną pracy". Zgodnie z tą zasadą przyjęto, że ryzyko małe i średnie jest ryzykiem akceptowalnym, ryzyko duże – jest nie akceptowalne. Ryzyko najczęściej określa się na podstawie krotności (k) zmierzonej wartości w stosunku do określonej dla niej wartości NDN:
| k ≤ 0,5 | ryzyko małe |
0,5 < k ≤ 1 | ryzyko średnie |
k > 1,0 | ryzyko duże |
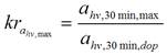
Oceniając ryzyko zawodowe związane z drganiami miejscowymi dokonuje się porównania wyznaczonej wartości 8-godzinnej ekspozycji na drgania, A(8) z wartością dopuszczalną A(8)
dop i /lub maksymalnej wartości sumy wektorowej skutecznych ważonych przyspieszeń drgań a
hv,30min,max z wartością dopuszczalną a
hv,30min,dop. Odpowiednie krotności wartości NDN opisane będą zatem wzorami:
(1)
(2)
W przypadkach, gdy całkowity czas narażenia pracownika na drgania w ciągu doby,
t, jest dłuższy niż 30 min (
t > 30 min) i czas trwania
ti wszystkich n wykonywanych przez pracownika czynności w narażeniu na drgania jest dłuższy niż 30 min (
ti > 30 min), ocena ryzyka zawodowego przeprowadzana jest w oparciu o 8-godzinną ekspozycję na drgania
A(8) (krotność wyliczana ze wzoru (1)).
W przypadkach, gdy całkowity czas narażenia pracownika na drgania w ciągu doby,
t, jest dłuższy niż 30 min (
t > 30 min), ale choć jedna z wykonywanych czynności w ciągu dnia pracy w narażeniu na drgania trwa 30 min lub krócej (
ti 30 min), ocena ryzyka zawodowego przeprowadzana jest zarówno w oparciu o 8-godzinną ekspozycję na drgania
A(8) (krotność wyliczana ze wzoru (1)) jak i maksymalną wartość sumy wektorowej skutecznych ważonych przyspieszeń drgań
ahv,30min,max (krotność wyliczana ze wzoru (2)). Podstawą oceny jest większa z wyznaczonych krotności.
W przypadkach, gdy całkowity czas narażenia pracownika na drgania w ciągu doby,
t, jest równy lub krótszy niż 30 min ( 30 min), ocena ryzyka zawodowego przeprowadzana jest w oparciu o maksymalną wartość sumy wektorowej skutecznych ważonych przyspieszeń drgań
ahv,30min,max (krotność wyliczana ze wzoru (2)).
Oceniając ryzyko zawodowe związane z drganiami ogólnymi dokonuje się porównania wyznaczonej wartości 8-godzinnej ekspozycji na drgania
Al(8) (największej spośród ekspozycji wyznaczonych dla trzech kierunków: max{
Ax(8),
Ay(8),
Az(8)}, , z wartością dopuszczalną
A(8)
dop i /lub wartości składowej dominującej
aw,30min,max wybranej spośród skutecznych ważonych przyspieszeń drgań z wartością dopuszczalną
aw,30min,dop. Odpowiednie krotności wartości NDN opisane będą zatem wzorami:


W przypadkach, gdy całkowity czas narażenia pracownika na drgania w ciągu doby, t, jest dłuższy niż 30 min (t > 30 min) i czas trwania ti wszystkich n wykonywanych przez pracownika czynności w narażeniu na drgania jest dłuższy niż 30 min (ti > 30 min), ocena ryzyka zawodowego przeprowadzana jest w oparciu o 8-godzinną ekspozycję na drgania Al(8) (krotność wyliczana ze wzoru (3)).
W przypadkach, gdy całkowity czas narażenia pracownika na drgania w ciągu doby, t, jest dłuższy niż 30 min (t > 30 min), ale choć jedna z wykonywanych czynności w ciągu dnia pracy w narażeniu na drgania trwa 30 min lub krócej (ti 30 min), ocena ryzyka zawodowego przeprowadzana jest zarówno w oparciu o 8-godzinną ekspozycję na drgania Al(8) (krotność wyliczana ze wzoru (3)) jak i wartość dominującą aw,30min,max wybraną spośród skutecznych ważonych przyspieszeń drgań (krotność wyliczana ze wzoru (4)). Podstawą oceny jest większa z wyznaczonych krotności.
W przypadkach, gdy całkowity czas narażenia pracownika na drgania w ciągu doby, t, jest równy lub krótszy niż 30 min ( 30 min), ocena ryzyka zawodowego przeprowadzana jest w oparciu o wartość dominującą wybraną spośród skutecznych ważonych przyspieszeń drgań aw,30min,max (krotność wyliczana ze wzoru (4)).
Oceniając ryzyko zawodowe związane z narażeniem na drgania mechaniczne należy pamiętać że wyznaczone wartości należy odnieść do właściwych dla danego pracownika wartości NDN.
Na rysunkach 1, 2 przedstawiono schematycznie sposób przeprowadzania oceny ryzyka zawodowego związanego z narażeniem na drgania mechaniczne działające przez kończyny górne (drgania miejscowe) (rys. 1) z uwzględnieniem pracowników młodocianych i kobiet w ciąży z uwzględnieniem wartości NDN obowiązujących dla tych grup pracowników (rys. 2 - takie same wartości NDN).
Na rysunkach 3, 4 przedstawiono schematycznie sposób przeprowadzania oceny ryzyka zawodowego związanego z narażeniem na drgania mechaniczne ogólne (rys. 3) z uwzględnieniem pracowników młodocianych (rys. 4). Kobietom w ciąży praca w warunkach narażenia na drgania ogólne jest zabroniona.

Rys. 1. Ocena ryzyka zawodowego związanego z narażeniem na drgania miejscowe.

Rys. 2. Ocena ryzyka zawodowego związanego z narażeniem na drgania miejscowe dla pracowników młodocianych i kobiet w ciąży.

Rys. 3. Ocena ryzyka zawodowego związanego z narażeniem na drgania ogólne.

Rys. 4. Ocena ryzyka zawodowego związanego z narażeniem na drgania ogólne dla pracowników młodocianych.